Buick 225 Odd Fire



"V6 225 BUICK JEEP 30 1610 ODD FIRE DISTRIBUTOR CJ6 SPECIAL , Jeep Willys Kaiser Buick Dauntless V6 225 Odd Fire Timing , DUI HEI Livewire Spark Plug Wires Buick Dauntless Odd Fire , A Team Performance HEI Distributor 65K Coil Buick Odd Fire , 225 Hei Tune Up ECJ5, Buick V6 In Stock Replacement Auto Auto Parts Ready To , First start up Jeep v6 dauntless YouTube, BUICK JEEP Dauntless 225 V6 odd fire HEI Distributor , where does #1 go said in a austin powers voice ECJ5, COMP Cams Camshaft ; High Energy 438 438 Hyd , Jeep Dauntless Buick 225 231 Timing Chain Jeepster , AMC 6 Cylinder DUI Distributors Performance Distributors, Marketplace:John Titus Citroen SM wiki, Jeep Dauntless 225 V6 Oiling System Vintage Jeep , GM Chevy Buick Engine to Jeep T15 3 Spd Transmission Kit, Dauntless 225 Replacement Engine Parts Find Engine , Jeep Dauntless 225 V6 Oiling System Vintage Jeep "

V6 225 Buick Jeep 30 1610 Odd Fire Distributor Cj6 Special

V6 225 Buick Jeep 30 1610 Odd Fire Distributor Cj6 Special

Jeep Willys Kaiser Buick Dauntless V6 225 Odd Fire Timing

Jeep Willys Kaiser Buick Dauntless V6 225 Odd Fire Timing

Dui Hei Livewire Spark Plug Wires Buick Dauntless Odd Fire

Dui Hei Livewire Spark Plug Wires Buick Dauntless Odd Fire

A Team Performance Hei Distributor 65k Coil Buick Odd Fire

A Team Performance Hei Distributor 65k Coil Buick Odd Fire

225 Hei Tune Up Ecj5

225 Hei Tune Up Ecj5

Buick V6 In Stock Replacement Auto Auto Parts Ready To

Buick V6 In Stock Replacement Auto Auto Parts Ready To

First Start Up Jeep V6 Dauntless Youtube

First Start Up Jeep V6 Dauntless Youtube

Buick Jeep Quot Dauntless Quot 225 V6 Odd Fire Hei Distributor

Buick Jeep Quot Dauntless Quot 225 V6 Odd Fire Hei Distributor

Where Does 1 Go Said In A Austin Powers Voice Ecj5

Where Does 1 Go Said In A Austin Powers Voice Ecj5

Comp Cams Camshaft 63 234 4 High Energy 438 438 Quot Hyd

Comp Cams Camshaft 63 234 4 High Energy 438 438 Quot Hyd

Jeep Dauntless Buick 225 231 Timing Chain Jeepster

Jeep Dauntless Buick 225 231 Timing Chain Jeepster

Amc 6 Cylinder Dui Distributors Performance Distributors

Amc 6 Cylinder Dui Distributors Performance Distributors

Marketplace John Titus Citroen Sm Wiki

Marketplace John Titus Citroen Sm Wiki

Jeep Dauntless 225 V6 Oiling System Vintage Jeep

Jeep Dauntless 225 V6 Oiling System Vintage Jeep

Gm Chevy Buick Engine To Jeep T15 3 Spd Transmission Kit

Gm Chevy Buick Engine To Jeep T15 3 Spd Transmission Kit

Dauntless 225 Replacement Engine Parts Find Engine

Dauntless 225 Replacement Engine Parts Find Engine

Jeep Dauntless 225 V6 Oiling System Vintage Jeep

Jeep Dauntless 225 V6 Oiling System Vintage Jeep

Jeep Cj 5 Classics For Sale Classics On Autotrader

Jeep Cj 5 Classics For Sale Classics On Autotrader

1967 Jeep Jeepster Commando For Sale Jeep Commando 1967

1967 Jeep Jeepster Commando For Sale Jeep Commando 1967

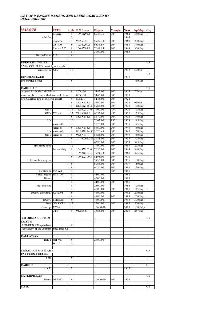
List Of V Type Engines

List Of V Type Engines

CTA Link →

-->